Confidentiality agreements are essential for protecting sensitive information. Whether you’re starting a new business or hiring employees, having a signed agreement in place can help safeguard your confidential data.
But creating a confidentiality agreement from scratch can be time-consuming and complicated. That’s where free printable confidentiality agreement forms come in handy. You can easily download and customize these templates to suit your specific needs.
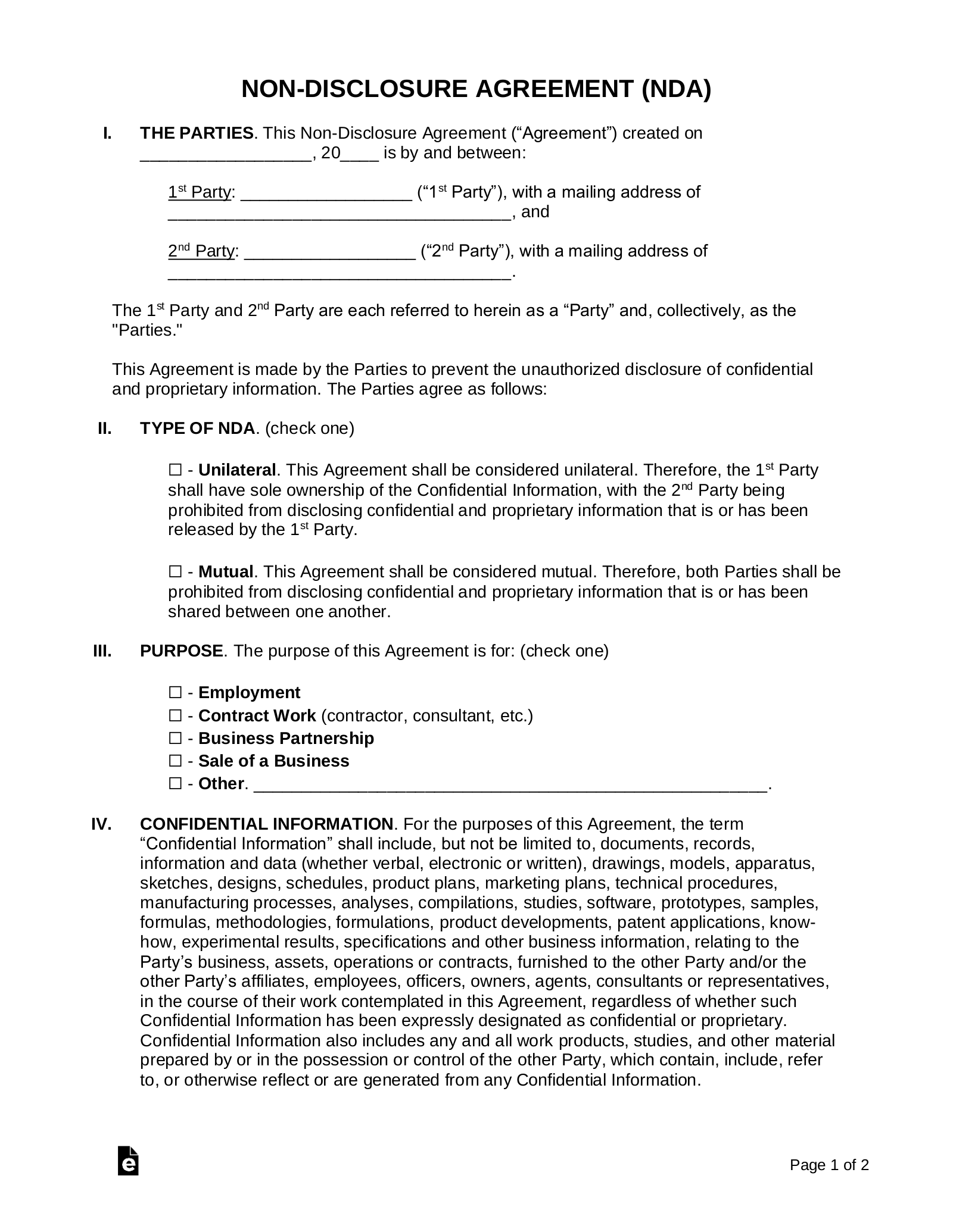
Free Printable Confidentiality Agreement Form
Free Printable Confidentiality Agreement Form
With a free printable confidentiality agreement form, you can save time and effort by using a pre-made template. These forms typically include all the necessary clauses and legal language, so you don’t have to worry about missing anything important.
Simply fill in the blanks with your information, review the terms with the other party, and have them sign the agreement. It’s a quick and easy way to protect your confidential information without the hassle of hiring a lawyer to draft a custom agreement.
Whether you’re sharing proprietary business information, trade secrets, or customer data, having a confidentiality agreement in place is crucial. It helps establish clear expectations between parties and provides legal recourse in case of a breach.
By using a free printable confidentiality agreement form, you can ensure that your sensitive information remains secure and protected. Don’t wait until it’s too late – download a template today and safeguard your confidential data.
Protecting your confidential information is paramount in today’s digital age. With a free printable confidentiality agreement form, you can easily create a legally binding document to safeguard your sensitive data. Take the necessary steps to protect your information and avoid potential risks down the road.
Free Non Disclosure Agreement NDA Templates 21 PDF Word EForms
Free Confidentiality Agreement Template PDF Word



